BAC 2025. Miercuri, 11 iunie 2025, candidații susțin proba scrisă la Matematică. În acest articol, vor fi regăsite rezolvările subiectelor la matematică. După proba de foc la Limba și Literatura Română, elevii susțin, începând cu ora 09:00, proba obligatorie a profilului (proba E.c). După perioada acestor examene scrise, elevii vor afla notele oficiale, iar Gândul.ro vă pune la dispoziție toate informațiile legate de această sesiune de Bacalaureat.
Update 11 iunie 2025 (15:45). Pe platforma controlată de Ministerul Educației se pot descărca atât variantele, cât și baremul de evaluare, iar acestea sunt disponibile la acest link.
BAREMUL de evaluare pentru MATEMATICĂ, Bacalaureat 2025, poate fi vizualizat AICI (în funcție de profil):
Update 11 iunie 2025 (13:50). Avem rezolvarea subiectelor la matematică! Exercițiile au fost rezolvate de Rareș Cotoi, student în anul doi la Facultatea de Matematică și Informatică UBB Cluj Napoca.
:format(webp):quality(80)/https%3A%2F%2Fwww.gandul.ro%2Fwp-content%2Fuploads%2F2025%2F06%2Fmate-1-si-2-1280x738.jpg)
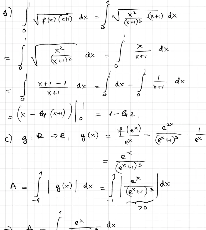
Rezolvarea subiectelor la Matematică, pag. 1 și 2
:format(webp):quality(80)/https%3A%2F%2Fwww.gandul.ro%2Fwp-content%2Fuploads%2F2025%2F06%2Fmate-3-si-4-1280x701.jpg)
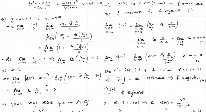
Rezolvarea subiectelor la Matematică, pag. 3 și 4
:format(webp):quality(80)/https%3A%2F%2Fwww.gandul.ro%2Fwp-content%2Fuploads%2F2025%2F06%2Fmate-5-si-6-1280x701.jpg)
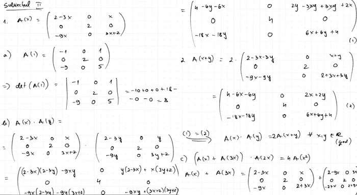
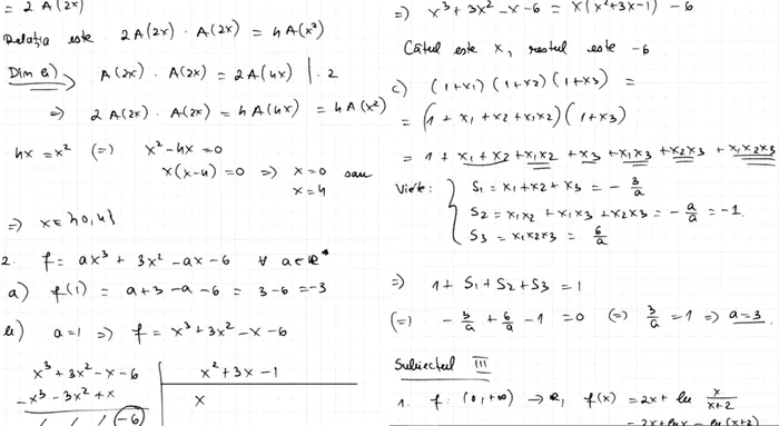
Rezolvarea subiectelor la Matematică, pag. 5 și 6
:format(webp):quality(80)/https%3A%2F%2Fwww.gandul.ro%2Fwp-content%2Fuploads%2F2025%2F06%2Fmate-7-si-8-1280x701.jpg)
Rezolvarea subiectelor la Matematică, pag. 7 și 8
:format(webp):quality(80)/https%3A%2F%2Fwww.gandul.ro%2Fwp-content%2Fuploads%2F2025%2F06%2Frez-9.jpg)
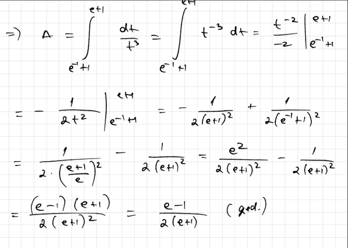
Rezolvarea subiectului la Matematică, pag. 9/10
:format(webp):quality(80)/https%3A%2F%2Fwww.gandul.ro%2Fwp-content%2Fuploads%2F2025%2F06%2Frez-10.jpg)
Rezolvarea subiectului la Matematică, pag. 10/10
Vezi AICI subiectele care au picat la matematică, a doua probă obligatorie de la Bacalaureat!
BAC 2025. Miercuri, 11 iunie 2025, candidații la sesiunea de Bacalaureat se reîntorc în băncile centrelor de examen pentru a susține proba obligatorie a profilului. În acest material, veți regăsi informații legate de subiectele la Matematică pe care elevii le-au avut de rezolvat, precum și baremul de corectare pentru a doua probă la BAC 2025. Așa cum arată calendarul oficial al Ministerului Educației, vor mai fi încă 2 probe de susținut la Bacalaureat, apoi se va încheia sesiunea din această vară.
Elevilor nu li se permite să pătrundă în sălile de examen cu anumite obiecte, în timpul probei scrise la Matematică. Candidații nu au voie să intre în sala de clasă cu materiale ajutătoare, dispozitive electronice sau inteligente, dar nici obiecte ce ar putea ascunde diverse informații. De asemenea, în cazul probei la Matematică, elevii pot avea asupra lor și un creion, dar nu poate fi utilizat pe foaia de examen, ci pe ciornă. Tot în timpul examenului, candidaților nu li se permite să comunice. Aceștia au voie să aibă asupra lor cartea de identitate / pașaportul, o sticlă de apă.
Proba la Matematică începe la ora 09:00 și ține 3 ore. Elevii pot părăsi incinta sălii de examen abia după 10:30. Centrul Național pentru Curriculum și Evaluare va publica, pe site-ul oficial, subiectele și baremul de rezolvare, de la ora 15:00, în zilele când au loc probele.
:format(webp):quality(80)/https%3A%2F%2Fwww.gandul.ro%2Fwp-content%2Fuploads%2F2025%2F06%2F3-poza-interior-5-1280x973.jpg)
Cum se rezolvă subiectele la Matematică?
După probele scrise la BAC 2025, poți afla rapid rezultatele la BACALAUREAT, sesiunea iunie 2025, totul fiind la un click distanță. Încă din prima zi a Bacalaureatului, candidații primesc un cod unic pe care îl vor introduce pe platforma dedicată a ministerului, pentru a afla notele. Desigur, notele pot fi aflate și la avizierul centrului de examen unde au fost susținute probele.
Clasa a IX-a:
Mulțimi și elemente de logică matematică
Funcții
Vectori în plan
Coliniaritate, concurență, paralelism – calcul vectorial în geometria plană
Elemente de trigonometrie
Aplicații ale trigonometriei și ale produsului scalar în geometria plană
Clasa a X-a:
Mulțimi de numere
Funcții și ecuații
Metode de numărare
Matematici financiare
Geometrie
Clasa a XI-a:
Elemente de algebră
Elemente de analiză matematică
Clasa a XII-a:
Elemente de algebră
Elemente de analiză matematică
Clasa a IX-a:
Mulțimi și elemente de logică matematică
Funcția de gradul al II-lea – interpretare geometrică
Vectori în plan
Elemente de trigonometrie
Aplicații ale trigonometriei și produsului scalar
Clasa a X-a:
Mulțimi de numere
Mulțimea numerelor complexe (C)
Funcții și ecuații
Metode de numărare
Matematici financiare
Geometrie
Clasa a XI-a:
Elemente de algebră
Elemente de analiză matematică
Clasa a XII-a:
Elemente de algebră
Elemente de analiză matematică
Vectori în plan
Coliniaritate, concurență, paralelism
Aplicații ale trigonometriei și produsului scalar în geometria plană
Clasa a IX-a:
Mulțimi și elemente de logică matematică
Funcția de gradul al II-lea
Vectori în plan
Elemente de trigonometrie
Aplicații ale trigonometriei și produsului scalar
Clasa a X-a:
Mulțimi de numere
Funcții și ecuații
Matematici financiare
Geometrie
Clasa a XI-a:
Structuri algebrice
Clasa a XII-a:
Elemente de calcul matricial
Matrice și determinanți
Sisteme de ecuații liniare
Clasa a IX-a:
Mulțimi și logică matematică
Funcții
Vectori în plan
Calcul vectorial: coliniaritate, concurență, paralelism
Aplicații în trigonometrie și produsul scalar
Clasa a X-a:
Mulțimi de numere
Funcții și ecuații
Matematici financiare
Geometrie
Clasa a XI-a:
Structuri algebrice
Clasa a XII-a:
Calcul matricial și sisteme de ecuații
Matrice și determinanți
Sisteme liniare
Aflați aici toate informațiile despre Bacalaureat 2025