Aproape orice român angajat în câmpul muncii vrea să știe cât va încasa la pensie, la momentul respectiv. Un calcul simplu, realizat pe baza salariului net actual și a numărului de ani lucrați cu contract de muncă, arată sumele pe care fiecare angajat le-ar putea primi de la stat la retragerea din activitate.
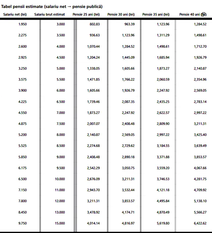
Astfel, mai jos am pregătit un tabel estimativ care arată în detaliu ce pensie se cuvine, la momentul actual, unui salariu net din prezent.
:format(webp):quality(80)/https%3A%2F%2Fwww.gandul.ro%2F%2Fwp-content%2Fuploads%2F2025%2F09%2F2-poza-interior-6.jpg)
Potrivit calculelor, diferențele pot fi semnificative în funcție de vechimea acumulată în câmpul muncii.
De exemplu, un angajat care câștigă în prezent 1.950 de lei net pe lună va primi:
În schimb, pentru un salariu net actual de 9.750 de lei, pensia estimată crește semnificativ:
Analiza scoate în evidență faptul că, în România, pensia publică rămâne considerabil mai mică decât venitul încasat în perioada activă. Chiar și în cazul unor salarii medii sau mari, pensia reprezintă adesea mai puțin de jumătate din salariul net din prezent.
În felul acesta, se pune în discuție nu numai sustenabilitatea sistemului de pensii publice, cât și necesitatea economisirii prin fonduri private sau alte forme de investiții. Totuși, după o viață de muncă, românii trebuie, cumva, să își suplimenteze veniturile de la bătrânețe pentru a supraviețui.
Numărul de ani lucrați cu contract de muncă are o pondere esențială în calculul pensiei. Diferența dintre o carieră de 25 de ani și una de 40 de ani poate dubla pensia pe care o primește o persoană. De aici și recomandările specialiștilor, ca angajații să urmărească permanent stagiul de cotizare și să evite perioadele „albe” în care nu se virează contribuții la stat.
RECOMANDAREA AUTORULUI:
Cei 300.000 de pensionari din România care NU vor mai plăti CASS la pensie. Cine se încadrează