Prima pagină » Actualitate » 50 de lei mai puțin la pensie pentru acești 1.000.000 de pensionari din România. Cine se încadrează

50 de lei mai puțin la pensie pentru acești 1.000.000 de pensionari din România. Cine se încadrează

50 de lei mai puțin la pensie pentru acești 1.000.000 de pensionari din România. Cine se încadrează

Un milion de pensionari din România nu mai primesc ajutorul de 50 de lei pentru plata facturilor. Acum, spre deosebire de anii trecuți, acest ajutor financiar nu mai este acordat de stat în mod automat persoanelor eligibile. Iată categoriile de pensionari care se încadrează pentru a primi acești bani și perioada în care se acordă.

Pentru a beneficia de acești bani, pensionarii trebuie să se înscrie în program. Este vorba despre un ajutor financiar în valoare de 50 de lei, acordat de statul român, pentru plata facturilor la energie electrică. În ani trecuți, acești bani se ofereau automat persoanelor eligibile. Acum, însă, seniorii trebuie să își depună actele, în mod voluntar, pentru a primi această sumă.

Ce criterii trebuie să îndeplinească pensionarii pentru a fi eligibili

Pensionarii eligibili pot să se înscrie atât online, cât și la primărie sau la oficiul poștal. Petre Florin Manole, Ministrul Muncii, a declarat că peste 600.000 de beneficiari au intrat în posesia tichetelor de energie pentru luna septembrie, până acum, valoarea totală a acestora fiind de peste 34.000.000 de lei.

„Sumele pentru peste 600.000 de beneficiari ai tichetului de energie, sprijin în valoare de peste 34 de milioane de lei pentru plata facturilor din luna septembrie, au fost virate.

Este un ajutor important pentru familiile și persoanele vulnerabile, care se confruntă cu cheltuieli tot mai mari și pentru care fiecare leu contează.

Este nevoie să afle cât mai mulți potențiali beneficiari.
Cei care îndeplinesc condițiile pot aplica în continuare pentru tichetul de energie, fie online, fie direct la oficiile poștale”, a transmis Petre Florin Manole.

Pentru a primi aceste tichete, seniorii trebuie să îndeplinească anumite criterii. Banii se acordă persoanelor singure cu venit net lunar de maximum 1.940 lei, dar și familiilor care au un venit net lunar per membru de maximum 1.784 de lei, scrie Newsweek.ro.

Acest ajutor financiar se oferă în perioada 1 iulie 2025 – 31 martie 2026. Pensionarii care primesc pensii mici beneficiază de 450 de lei pentru achitarea facturilor la energie electrică.

Sute de mii de pensionari nu au beneficiat de acești bani

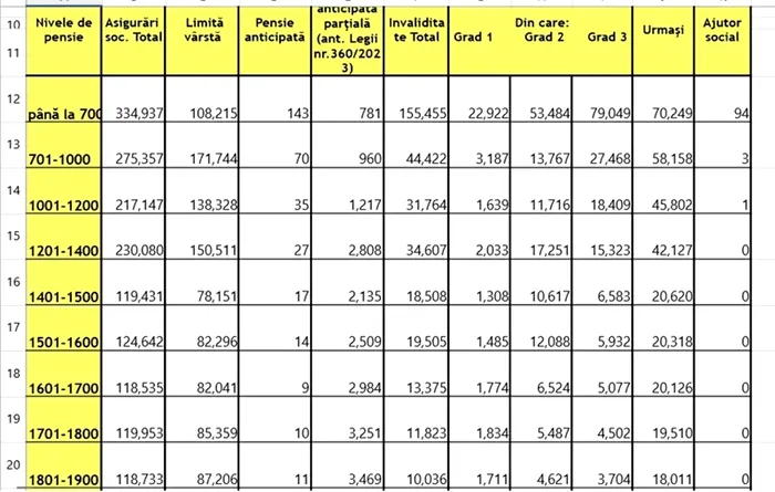
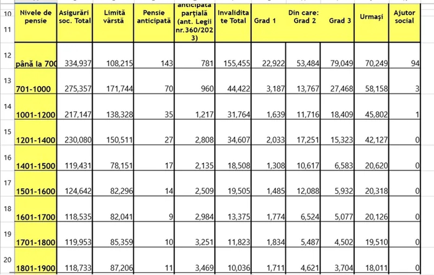
Conform datelor furnizate de CNPP, există 1.658.815 seniori care au pensii sub valoarea de 1.900 de lei. O parte dintre cei 600.000 de cetățeni care au beneficiat de acești bani nu sunt pensionari, ci persoane care au venituri mai mici. În acest sens, ar însemna că alte câteva sute de mii de persoane eligibile în acest program nu au primit bani.

50 de lei mai puțin la pensie pentru acești 1.000.000 de pensionari din România.

50 de lei mai puțin la pensie pentru o categorie de pensionari

Printre motive se află dificultatea de a accesa programul de înscriere sau lipsa de informare. Programul poate fi accesta în continuare de cetățenii eligibili, însă banii vor fi furnizați doar din luna în care depun cererea. Nu se fac plăți retroactive. Pentru că a trecut perioada iulie – septembrie, beneficiarii nu mai primesc plăți retroactive (pierdere de 150 de lei), dacă se înscriu în octombrie 2025.

Autorul recomandă:

Categoriile de angajați care vor avea pensiile mărite cu 50% după recalculare. Când se vor face actualizările

Decizia pe care a luat-o un profesor. A vândut tot și s-a pensionat anticipat. În ce țară trăiește cu doar jumătate de pensie

Tabel pensii | Ce pensie vor avea pensionarii din România, în funcție de venit și de carieră

Câte puncte trebuie să acumuleze un angajat pentru a avea un venit lunar confortabil la PENSIE. Exemple de calcul pentru sume de 2.500 și 4.000 lei

Recomandarea video

Citește și

Mediafax
Carrefour își vinde magazinele! Frații Pavăl de la Dedeman vor prelua operațiunile retailerului 
Digi24
Trenuri de tezaur ajunse adăposturi de pisici. Cum își bate joc statul de propriul patrimoniu național: „Doar executăm ce ni se spune”
Cancan.ro
Cauza morții afaceristului Sorin a fost publicată. Ce arată rezultatele autopsiei bărbatului care a decedat în accidentul din Iași
Prosport.ro
FOTO. Una dintre cele mai frumoase sportive a trădat SUA pentru China! A ales să concureze la Jocurile Olimpice pentru țara părinților nu pentru țara ei natală
Adevarul
Primele imagini cu fiul lui Ramzan Kadîrov după accidentul în care a fost implicat. Adam, vizibil schimbat
Mediafax
Investiție uriașă. Un startup va investi 1,2 miliarde de euro în centre de date și modele AI
Click
Bancnota de 2.000 de lei cu eclipsa totală de Soare din 1999 a devenit o adevărată comoară. Cu cât se vinde în 2026
Digi24
Două țări au devenit, peste noapte, un obstacol în calea noilor sancțiuni ale UE împotriva petrolului rusesc
Cancan.ro
Asta ar fi fost scăparea soților Sorin și Diana Iacob din accidentul produs în Iași? Tatăl lui rupe tăcerea: 'Nu înțeleg de ce a plecat cu
Ce se întâmplă doctore
Cine este Oase de la Power Couple? CRBL a povestit cum a fost „trădat“ de acesta după ce au câştigat „Asia Express“
Ciao.ro
Sună periculos, trage fusta mai jos! Vedetele din România s-au aplecat prea mult și s-a văzut tot
Promotor.ro
Mașina diesel pentru cei care vor performanță în teren și confort pe asfalt. Disponibilă imediat în România
Descopera.ro
Misterul apei de pe Marte: Ce au descoperit oamenii de știință?
Râzi cu lacrimi
BANCUL ZILEI. O femeie goală pușcă primește în casă curierul. Îl duce în dormitor şi...
Descopera.ro
O particulă subatomică detectată pe Pământ în 2023 ar putea explica aproape totul despre Univers