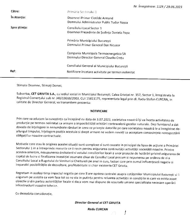
Radu Curcan, directorul general al CET Grivița, a anunțat printr-o adresă transmisă către Clotilde Armand, primarul Sectorului 1, Daniela Popa – președinte de ședință, Consiliul Local Sector 1 -, Nicușor Dan, primarul general al Capitalei, Claudiu Crețu, director general Termoenergetica SA și Consiliul General al Municipiului București (CGMB), că va înceta activitatea de producție începând cu data de 3 iulie 2023.
Motivul invocat de directorul general al CET Grivița este ”imposibilitatea achitării contravalorii gazelor naturale”.
Vestea-șoc pentru bucureșteni a fost anticipată încă de la începutul săptămânii trecute, atunci când reprezentanți PNL Sector 1 au avertizat, prin intermediul unui comunicat de presă, că se văd din ce în ce mai mult ”efectele incompetenței și politizării excesive a administrației Armand”. (mai multe detalii AICI)
”Furnizorul a dat dovadă de înțelegere în nenumărate rânduri”, precizează directorul general CET Grivița, în ceea ce privește datoriile înregistrate de societate, iar nerespectarea obligațiilor contractuale duce la închiderea, pe termen nelimitat, a producției.
”Toată această situație nedorită este rezultatul ”lipsei de acțiune a Primăriei Sectorului 1”, transmite Radu Curcan, îndreptând un deget acuzator către Clotilde Armand, primarul Sectorului 1.

Clotilde Armand 1 a fost acuzată de liberali că, din cauza administrației defectuoase, s-a ajuns în situația în care peste 20.000 de apartamente din Sectorul 1 și Sectorul 6 vor rămâne fără apă caldă începând de luni, 3 iulie 2023.
De ce? Fiindcă primarul Sectorului 1 nu a pus pe ordinea de zi bugetul Companiei CET Grivița, plus ”majorarea de capital necesară pentru finalizarea investițiilor și asigurarea capitalului de lucru”.
Efectele incompetenței și politizării excesive a administrației Armand de la Sectorul 1 sunt deosebit de grave, acuză liberalii prin intermediul comunicatului de presă: peste 20.000 de apartamente din Sectorul 1 și Sectorul 6 vor rămâne fără apă caldă începând de luni, pentru că primarul refuză să pună pe ordinea de zi bugetul companiei CET Grivița, precum și majorarea de capital necesară pentru finalizarea investițiilor și asigurarea capitalului de lucru.
Proiectul de buget de venituri și cheltuieli a fost depus la Primăria Sectorului 1 în luna februarie, moment din care ”a rămas blocat în sertarul cu polițe politice al primarului Armand”. Compania a transmis constant solicitări oficiale pentru aducerea la vot în Consiliu Local, conform legii, a bugetului, explicând de fiecare dată consecințele acestui blocaj.
”Clotilde Armand a ales, încă o dată, să pună propriile orgolii și calcule politice mai presus de interesul cetățenilor și trimite zeci de mii de bucureșteni în Evul Mediu din punct de vedere al utilităților de bază: apă caldă și căldură. CET Grivița este o companie care deservește peste 20.000 de apartamente din două sectoare, 1 și 6, are o instalație modernizată care produce, în cogenerare, energie termică și electrică. Cu toate acestea, Armand alege să o închidă și să irosească, din nou, banii bucureștenilor.
CET Grivița este singurul CET din București care deține Autorizație Integrată de Mediu și deține toate avizele necesare activării pe piața de energie: producție, distribuție etc. În plus, asigură venitul pentru aproape 100 de familii, care astăzi se întreabă ce se va întâmpla cu locurile lor de muncă. Niciunul dintre aceste argumente nu a fost mai puternic decât mixul de orgoliu, incompetență și rea-voință. O somăm pe Clotilde Armand să convoace URGENT ședința de consiliu local pentru a rezolva rapid această problemă”, a declarat Sebastian Burduja, președinte PNL Sector 1.
Citește și: